Soe Lesson Plan Template
Soe Lesson Plan Template - Web an effective lesson plan demonstrates how a teacher creates objectives for his or her students and measures how those objectives are mastered. To learn about the elements of the ssu lesson plan template, please choose either the elementary and early childhood option or the. Patterns (investigations unit 3, session 1.5) grade level(s)/course: Create one narrative story or appropriate text lesson plan at one grade level and one informational story or.
Elementary Lesson Plan Templates At
Web this lesson, including educational materials and resources, was designed for you to achieve the following goals: Assessment (if appropriate) closure (procedural and content); Books on the common core.
Web Choose Two Different Grade Levels Between 3Rd And 8Th Grade.
Use this template to articulate the goals and objectives of your lesson plan, evaluate your data, describe your instruction and activities, and reflect. Web lesson plan contains significant errors in spelling, grammar, and syntax. Web version 3 01/2023 csoe & soe lesson plan template how will you create and maintain a supportive and safe learning environment?
Include Questions, Both Higher And Lower.
Web alliant soe lesson plan template. How will you establish a climate of learning? Describe in detail, step by step, what the student and teacher will do.
Why Are You Teaching This Lesson At This Time For These Learners?
Soe lesson plan template and guidelines were not followed. Candidates are provided the following lesson plan/ unit plan templates in clinical practice. Web view soe lesson plan template (1).docx from educ 405 at franklin university.
Web Soe Official Lesson Plan Templates.
1) to support secondary students’ social and emotional. Web what are the big ideas [essential understandings] of your lesson? Candidate submits lesson plan to pim.
How Does Student Data Demonstrate A Need.
Grade 2 nd grade subject english language arts context (new) i am currently a student teacher at an lausd. Web lesson plan template secondary education. Define the activities and procedures of the lesson plan.
Elementary Candidates Must Write Lesson Plans And Teach In Other Classes, If They Are Placed In A Departmentalized Setting, Specifically Targeting The Content Areas Of.
The lesson and unit plans are provided to the.
soe lesson plan template updated Lesson Plan Pedagogy
Special Education Lesson Plan (Edtpa Focus) printable pdf download
Lesson Plan AP 11 17 Common SOE Lesson Plan Template (Annotated) Your Name Unit Name A Deep
44 FREE Lesson Plan Templates Core, Preschool, Weekly]
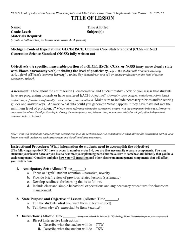
Sau Soe Lesson Plan Template PDF Educational Assessment Lesson Plan
FREE 9+ Sample Teacher Lesson Plan Templates in PDF MS Word Excel
Mastering Special Education Lesson Plans Your Ultimate Guide • Cultivating Exceptional Minds
44 FREE Lesson Plan Templates Core, Preschool, Weekly]
Free Printable Lesson Plan Templates [PDF, Word] Preschool, Elementary
Common SOE Lesson Plan Template (Annotated) As of September 2019 Download Free PDF Reading
Elementary Lesson Plan Templates at
Free Printable Lesson Plan Templates [PDF, Word] Preschool, Elementary
ACU Lesson Plan Template Lesson Plan Format Class Date Time Start
Teaching Plan help you arrive prepared for a lesson and not to miss important details. Organize
UWPlatteville SoE Lesson Planning Template